题目内容

把函数图像上所有点的横坐标缩短到原来的倍(纵坐标不变),再把图像上所有的点向左平行移动个单位长度,得到的图像所表示的函数是(   )

A.                             B.

C.                               D.

 

【答案】

C

【解析】

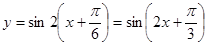
试题分析:把函数图像上所有点的横坐标缩短到原来的倍(纵坐标不变),得;再把图像上所有的点向左平行移动个单位长度,得,故选C.

考点:三角函数的图像平移与变换.

 

练习册系列答案
相关题目

违法和不良信息举报电话:027-86699610 举报邮箱:58377363@163.com

精英家教网