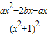
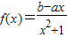
题目内容
已知函数f(x)=(Ⅰ)若函数f(x)在x=1处取得极值2,求a,b的值;
(Ⅱ)当2b=a2-1时,讨论函数f(x)的单调性.
【答案】分析:(Ⅰ)利用函数f(x)在x=1处取得极值2,得到两个条件f(1)=2,f′(1)=0,利用两个条件解a,b的值
(Ⅱ)由2b=a2-1,代入进行消元,然后求导,讨论a的取值范围,利用导数研究函数的单调性.
解答:解:(Ⅰ)由于
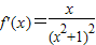
,则
=
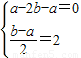
因为f(x)在x=1处有极值2,所以有
,即
,
解得
,经检验a=-4,b=0符合题意.
所以,当f(x)在x=1处有极值2时,a=-4,b=0.
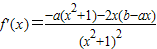
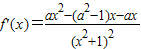
(Ⅱ)因2b=a2-1,所以
=
①当a=0时,
,令f′(x)=0,得x=0,
则当x∈(-∞,0)时,f′(x)<0;当x∈(0,+∞)时,f′(x)>0.
所以f(x)的增区间为(0,+∞),减区间为(-∞,0).
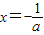
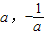
②当a≠0时,令f′(x)=0,得x=a,或
i)当a>0时,
,
则当x∈(
)时,f′(x)<0;当x∈
或(a,+∞)时,f′(x)>0.
所以f(x)的增区间为
,(a,+∞),减区间为
.
ii)当a<0时,得
.
则当x∈(
)时,f′(x)>0;当x∈(-∞,a)或(
,+∞)时,f′(x)<0.
所以f(x)的增区间为
,减区间为(-∞,a),(
,+∞).
综上所述,当a=0时,f(x)的增区间为(0,+∞),减区间为(-∞,0).
当a>0时,f(x)的增区间为
,(a,+∞),减区间为
.
当a<0时,f(x)的增区间为
,减区间为(-∞,a),(
,+∞).
点评:本题考查利用导数研究函数的极值以及函数的单调性问题.对应含有参数的导数,要对参数进行分类讨论.
(Ⅱ)由2b=a2-1,代入进行消元,然后求导,讨论a的取值范围,利用导数研究函数的单调性.
解答:解:(Ⅰ)由于
因为f(x)在x=1处有极值2,所以有
解得
所以,当f(x)在x=1处有极值2时,a=-4,b=0.
(Ⅱ)因2b=a2-1,所以
①当a=0时,
则当x∈(-∞,0)时,f′(x)<0;当x∈(0,+∞)时,f′(x)>0.
所以f(x)的增区间为(0,+∞),减区间为(-∞,0).
②当a≠0时,令f′(x)=0,得x=a,或
i)当a>0时,
则当x∈(
所以f(x)的增区间为
ii)当a<0时,得
则当x∈(
所以f(x)的增区间为
综上所述,当a=0时,f(x)的增区间为(0,+∞),减区间为(-∞,0).
当a>0时,f(x)的增区间为
当a<0时,f(x)的增区间为
点评:本题考查利用导数研究函数的极值以及函数的单调性问题.对应含有参数的导数,要对参数进行分类讨论.
练习册系列答案
相关题目
已知函数f(x)=x2-bx的图象在点A(1,f(1))处的切线l与直线3x-y+2=0平行,若数列{
}的前n项和为Sn,则S2010的值为( )
| 1 |
| f(n) |
A、
| ||
B、
| ||
C、
| ||
D、
|