题目内容
设函数f(x)=x2+bln(x+1).
(1)若b=﹣4,求函数f(x)的单调区间;
(2)若函数f(x)在定义域上是单调函数,求b的取值范围;
(3)若b=﹣1,证明对任意n∈N+,不等式
…
都成立.
(1)若b=﹣4,求函数f(x)的单调区间;
(2)若函数f(x)在定义域上是单调函数,求b的取值范围;
(3)若b=﹣1,证明对任意n∈N+,不等式
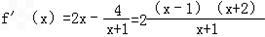
(1)解:求导函数,可得
,定义域{x|x>﹣1}
∴当﹣1<x<1时,f'(x)<0;当x>1时,f'(x)>0.
故函数f(x)的减区间是(﹣1,1),增区间是(1,+∞).
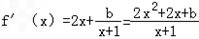
(2)解:∵
,
又函数f(x)在定义域是单调函数,
∴f'(x)≥0,或f'(x)≤0在(﹣1,+∞)上恒成立.
若f'(x)≥0,∵x+1>0,
∴2x2+2x+b≥0在(﹣1,+∞)上恒成立,即
恒成立,
由此得
;
若f'(x)≤0,∵x+1>0,
∴2x2+2x+b≤0,即b≤﹣(2x2+2x)恒成立,因﹣(2x2+2x)在(﹣1,+∞)没有最小值,
∴不存在实数b使f'(x)0恒成立.
综上所知,实数b的取值范围是
.
(3)证明:当b=﹣1时,函数f(x)=x2﹣ln(x+1),
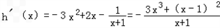
令函数h(x)=f(x)﹣x3=x2﹣ln(x+1)﹣x3,则
,
∴当x∈[0,+∞)时,h'(x)<0,
∴函数h(x)在[0,+∞)上单调递减,
又h(0)=0,
∴当x∈(0,+∞)时,h(x)<h(0)=0,即x2﹣ln(x+1)<x3恒成立.
故f(x)<x3.
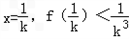
∵k∈N*,∴
,
取
,
∴
…
,
故结论成立.
∴当﹣1<x<1时,f'(x)<0;当x>1时,f'(x)>0.
故函数f(x)的减区间是(﹣1,1),增区间是(1,+∞).
(2)解:∵
又函数f(x)在定义域是单调函数,
∴f'(x)≥0,或f'(x)≤0在(﹣1,+∞)上恒成立.
若f'(x)≥0,∵x+1>0,
∴2x2+2x+b≥0在(﹣1,+∞)上恒成立,即
由此得
若f'(x)≤0,∵x+1>0,
∴2x2+2x+b≤0,即b≤﹣(2x2+2x)恒成立,因﹣(2x2+2x)在(﹣1,+∞)没有最小值,
∴不存在实数b使f'(x)0恒成立.
综上所知,实数b的取值范围是
(3)证明:当b=﹣1时,函数f(x)=x2﹣ln(x+1),
令函数h(x)=f(x)﹣x3=x2﹣ln(x+1)﹣x3,则
∴当x∈[0,+∞)时,h'(x)<0,
∴函数h(x)在[0,+∞)上单调递减,
又h(0)=0,
∴当x∈(0,+∞)时,h(x)<h(0)=0,即x2﹣ln(x+1)<x3恒成立.
故f(x)<x3.
∵k∈N*,∴
取
∴
故结论成立.
练习册系列答案
相关题目