题目内容
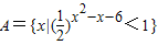
设集合
【答案】分析:先分别求出集合A和集合B,再由A∩B=∅,求实数a的取值范围.
解答:解:集合
={x|x2-x-6>0}={x|x>3或x<-2},
B={x|log4(x+a)<1}={x|0<x+a<4}={x|-a<x<4-a},
∵A∩B=∅,
∴
,
解得1≤a≤2.
故答案为:[1,2].
点评:本题考查集合的运算,解题时要认真审题,先分别求出集合A和集合B,再由A∩B=∅,求实数a的取值范围.
解答:解:集合
B={x|log4(x+a)<1}={x|0<x+a<4}={x|-a<x<4-a},
∵A∩B=∅,
∴
解得1≤a≤2.
故答案为:[1,2].
点评:本题考查集合的运算,解题时要认真审题,先分别求出集合A和集合B,再由A∩B=∅,求实数a的取值范围.
练习册系列答案
相关题目