题目内容
已知中心在原点,对称轴为坐标轴的椭圆T经过(I)求椭圆T的标准方程;
(II)若M,N是椭圆T上两点,满足
【答案】分析:(I)设椭圆T的方程为mx2+ny2=1,将P、Q的坐标代入,求出m,n的值,即可求得椭圆T的标准方程;
(II)表示出|MN|,利用M,N是椭圆T上两点,满足
,结合基本不等式,即可求|MN|的最大值.
解答:解:(I)设椭圆T的方程为mx2+ny2=1,将P、Q的坐标代入得
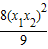
,∴
∴椭圆T的标准方程为
;
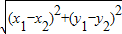
(II)设M(x1,y1),N(x2,y2),则|MN|=
∵
,∴x1x2+y1y2=0,∴|MN|=
=
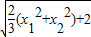
∵
=1-
(
)+
∴
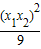
=1-
(
)
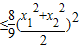
∴
∴|MN|≤2,∴|MN|的最大值为2.
点评:本题考查椭圆的标准方程,考查向量知识的运用,考查基本不等式,确定|MN|的表达式是关键.
(II)表示出|MN|,利用M,N是椭圆T上两点,满足
解答:解:(I)设椭圆T的方程为mx2+ny2=1,将P、Q的坐标代入得
∴椭圆T的标准方程为
(II)设M(x1,y1),N(x2,y2),则|MN|=
∵
∵
∴
∴
∴|MN|≤2,∴|MN|的最大值为2.
点评:本题考查椭圆的标准方程,考查向量知识的运用,考查基本不等式,确定|MN|的表达式是关键.
练习册系列答案
相关题目