题目内容
圆心在第一象限,且半径为1的圆与抛物线y2=2x的准线和双曲线
【答案】分析:根据双曲线的标准方程,求出渐近线方程,结合条件设出圆心坐标,再利用点到直线的距离公式求得参数,从而得到所求.
解答:
解:由双曲线方程可得a=4,b=3,c=5,
渐近线方程y=
和y=-
,即3x-4y=0和3x+4y=0.
抛物线y2=2x的准线为:x=-
,
根据圆心在第一象限,且半径为1的圆与抛物线y2=2x的准线相切,
设圆心A的坐标为(
,m),(m>0).
①当圆与双曲线
=1的渐近线3x-4y=0相切时,
圆心A到直线3x-4y=0的距离即为圆的半径1,
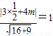
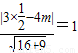
即
,⇒m=
;
②当圆与双曲线
=1的渐近线3x+4y=0相切时,
圆心A到直线3x+4y=0的距离即为圆的半径1,
即
,⇒m=
;
则圆心的坐标是:(
) 或(
).
故答案为:(
) 或(
).
点评:本题考查双曲线的标准方程,以及双曲线的简单性质的应用,点到直线的距离公式,圆的标准方程,求半径是解题的关键.
解答:
渐近线方程y=
抛物线y2=2x的准线为:x=-
根据圆心在第一象限,且半径为1的圆与抛物线y2=2x的准线相切,
设圆心A的坐标为(
①当圆与双曲线
圆心A到直线3x-4y=0的距离即为圆的半径1,
即
②当圆与双曲线
圆心A到直线3x+4y=0的距离即为圆的半径1,
即
则圆心的坐标是:(
故答案为:(
点评:本题考查双曲线的标准方程,以及双曲线的简单性质的应用,点到直线的距离公式,圆的标准方程,求半径是解题的关键.
练习册系列答案
相关题目