题目内容
已知等比数列{an}的前n项和为Sn,若S1,2S2,3S3成等差数列,且S4=
【答案】分析:根据S1,2S2,3S3成等差数列建立等式,求出q的值,然后根据等比数列的求和公式建立等式,可求出的首项,从而求出数列的通项.
解答:解:设等比数列{an}的公比为q,
∵S1,2S2,3S3成等差数列
∴4S2=S1+3S3,即4(a1+a2)=a1+3(a1+a2+a3)
∴a2=3a3,即q=
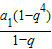
又S4=
∴
=
解得a1=1
∴an=
点评:本题主要考查了等差数列的性质,以及等比数列的求和,同时考查了运算求解的能力,属于基础题.
解答:解:设等比数列{an}的公比为q,
∵S1,2S2,3S3成等差数列
∴4S2=S1+3S3,即4(a1+a2)=a1+3(a1+a2+a3)
∴a2=3a3,即q=
∴
∴an=
点评:本题主要考查了等差数列的性质,以及等比数列的求和,同时考查了运算求解的能力,属于基础题.
练习册系列答案
相关题目