题目内容
已知数列{an}的前n项和Sn和通项an满足
,
(Ⅰ)求数列{an}的通项公式;
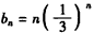
(Ⅱ)若数列{bn}满足bn=nan,求证:b1+b2+…+bn<
。
(Ⅰ)求数列{an}的通项公式;
(Ⅱ)若数列{bn}满足bn=nan,求证:b1+b2+…+bn<
(Ⅰ)解:当n≥2时,
,
,
由题意,可知
,
所以,{an}是公比为
的等比数列,
,
。
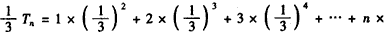
(Ⅱ)证明:
,
设
,
∴
,
∴
。
由题意,可知
所以,{an}是公比为
(Ⅱ)证明:
设
∴
∴
练习册系列答案
相关题目
已知数列{an}的前n项和Sn=an2+bn(a、b∈R),且S25=100,则a12+a14等于( )
| A、16 | B、8 | C、4 | D、不确定 |