题目内容
函数f(x)=x3﹣(a+1)x+a,g(x)=xlnx.
(Ⅰ)若y=f(x),y=g(x)在x=1处的切线相互垂直,求这两个切线方程.
(Ⅱ)若F(x)=f(x)﹣g(x)单调递增,求a的范围.
(Ⅰ)若y=f(x),y=g(x)在x=1处的切线相互垂直,求这两个切线方程.
(Ⅱ)若F(x)=f(x)﹣g(x)单调递增,求a的范围.
解:(I)f'(x)=3x2﹣(a+1),g'(x)=lnx+1
∴f'(1)=2﹣a
g'(1)=1
∵两曲线在x=1处的切线互相垂直
∴(2﹣a)×1=﹣1
∴a=3
∴f'(1)=﹣1 f(1)=0
∴y=f(x)在x=1处的切线方程为x+y﹣1=0,
同理,y=g(x)在x=1处的切线方程为x﹣y﹣1=0
(II)由F(x)=x3﹣(a+1)x+a﹣xlnx
得F'(x)=3x2﹣(a+1)﹣lnx﹣1=3x2﹣lnx﹣a﹣2
∵F(x)=f(x)﹣g(x)单调递增
∴F'(x)≥0恒成立 即a≤3x2﹣lnx﹣2
令h(x)=3x2﹣lnx﹣2
令h'(x)>0得
,
令h'(x)<0得
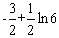
∴
∴a的范围为(-∞,
)。
∴f'(1)=2﹣a
g'(1)=1
∵两曲线在x=1处的切线互相垂直
∴(2﹣a)×1=﹣1
∴a=3
∴f'(1)=﹣1 f(1)=0
∴y=f(x)在x=1处的切线方程为x+y﹣1=0,
同理,y=g(x)在x=1处的切线方程为x﹣y﹣1=0
(II)由F(x)=x3﹣(a+1)x+a﹣xlnx
得F'(x)=3x2﹣(a+1)﹣lnx﹣1=3x2﹣lnx﹣a﹣2
∵F(x)=f(x)﹣g(x)单调递增
∴F'(x)≥0恒成立 即a≤3x2﹣lnx﹣2
令h(x)=3x2﹣lnx﹣2
令h'(x)>0得
令h'(x)<0得
∴
∴a的范围为(-∞,
练习册系列答案
相关题目