题目内容
已知函数f(x)=ax3-
x2+1(x∈R),其中a>0,
(Ⅰ)若a=1,求曲线y=f(x)在点(2,f(2))处的切线方程;
(Ⅱ)若在区间
上,f(x)>0恒成立,求a的取值范围.
(Ⅰ)若a=1,求曲线y=f(x)在点(2,f(2))处的切线方程;
(Ⅱ)若在区间
解:(Ⅰ)当a=1时,f(x)=x3-
x2+1,f(2)=3;
f′(x)=3x2-3x,f′(2)=6,
所以曲线y=f(x)在点(2,f(2))处的切线方程为y-3=6(x-2),即y=6x-9.
(Ⅱ)f′(x)=3ax2-3x=3x(ax-1),
令f′(x)=0,解得x=0或x=
,
以下分两种情况讨论:
(1)若0<a≤2,则
,当x变化时,f'(x),f(x)的变化情况如下表:

当x∈
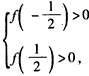
时,f(x)>0等价于
,即
,
解不等式组得-5<a<5,因此0<a≤2;
(2)若a>2,则
,
当x变化时,f′(x),f(x)的变化情况如下表:

当x∈
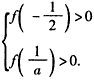
时,f(x)>0等价于
,即
,
解不等式组得
或
,因此2<a<5;
综合(1)和(2),可知a的取值范围为0<a<5.
f′(x)=3x2-3x,f′(2)=6,
所以曲线y=f(x)在点(2,f(2))处的切线方程为y-3=6(x-2),即y=6x-9.
(Ⅱ)f′(x)=3ax2-3x=3x(ax-1),
令f′(x)=0,解得x=0或x=
以下分两种情况讨论:
(1)若0<a≤2,则
当x∈
解不等式组得-5<a<5,因此0<a≤2;
(2)若a>2,则
当x变化时,f′(x),f(x)的变化情况如下表:
当x∈
解不等式组得
综合(1)和(2),可知a的取值范围为0<a<5.
练习册系列答案
相关题目
已知函数f(x)=a-
,若f(x)为奇函数,则a=( )
| 1 |
| 2x+1 |
A、
| ||
| B、2 | ||
C、
| ||
| D、3 |