题目内容
(本小题满分12分)已知
的两顶点坐标
,
,圆
是
的内切圆,在边
,
,
上的切点分别为
,
(从圆外一点到圆的两条切线段长相等),动点
的轨迹为曲线
.
![]()
(1)求曲线
的方程;
(2)设直线
与曲线
的另一交点为
,当点
在以线段
为直径的圆上时,求直线
的方程.
【答案】
(1)
;(2)直线
的方程
或
.
【解析】
试题分析:本题主要考查椭圆的第一定义、椭圆的标准方程、椭圆的几何意义、直线的方程、向量垂直的充要条件等基础知识,考查用代数法研究圆锥曲线的性质以及数形结合的数学思想方法,考查运算求解能力、综合分析和解决问题的能力.第一问,利用圆外一点到圆的两条切线段长相等,转化边,得到
,所以判断出曲线
是以
为焦点,长轴长为
的椭圆(挖去与
轴的交点),利用已知求出椭圆标准方程中的基本量;第二问,根据已知设出直线
的方程,直线与曲线
联立,消参得关于
的方程,求出方程的2个根,并且写出两根之和两根之积,因为点
在以
为直径的圆上,所以只需使
,解出参数从而得到直线
的方程.
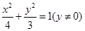
试题解析:⑴解:由题知![]()
所以曲线
是以
为焦点,长轴长为
的椭圆(挖去与
轴的交点),
设曲线
:
,
则
,
所以曲线
:
为所求. 4分
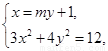
⑵解:注意到直线
的斜率不为
,且过定点
,
![]()
设
,
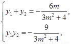
由![]()
消
得
,所以
,
所以
8分
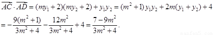
因为
,所以
![]()
注意到点
在以
为直径的圆上,所以
,即
,-----11分
所以直线
的方程
或
为所求.------12分
考点:1.椭圆的第一定义;2.椭圆的标准方程;3.直线与椭圆的位置关系;4.韦达定理;5.向量垂直的充要条件.
练习册系列答案
相关题目