题目内容
已知等差数列{an}中,Sn为{an}的前N项和,S3=15,a5=-1(1)求{an}的通项an与Sn;
(2)bn=an+3n-9,求Tn=
【答案】分析:(1)利用S3=15,a5=-1,求出数列的首项和公差,然后求{an}的通项an与Sn.
(2)求出数列{bn}的通项公式,然后利用裂项法求数列{bn}的前n项和Tn.
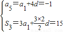
解答:解:(1)由已知得
,解得
a1=7,d=-2,所以
.
(2)bn=an+3n-9=-2n+9+3n-9=n,
所以
,
所以
.
点评:本题主要考查了等差数列的通项公式以及前n项和,以及利用裂项法求数列的和的问题,要求熟练掌握.
(2)求出数列{bn}的通项公式,然后利用裂项法求数列{bn}的前n项和Tn.
解答:解:(1)由已知得
a1=7,d=-2,所以
(2)bn=an+3n-9=-2n+9+3n-9=n,
所以
所以
点评:本题主要考查了等差数列的通项公式以及前n项和,以及利用裂项法求数列的和的问题,要求熟练掌握.
练习册系列答案
相关题目