题目内容
已知数列{an}满足
,
.
(1)求数列{an}的通项公式an;
(2)设
,求数列{bn}的前n项和Sn.
(1)求数列{an}的通项公式an;
(2)设
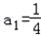
解:(1)∵
,
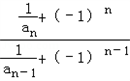
∴
=
,
∴
=
+(﹣1)n
=2[
],
∴
=2,
∵
,∴
=3,
∴{
}是以3为首项,以2为公比的等比数列.
∴
=3×2n﹣1,
即
=3×2n﹣1+(-1)n-1,
∴
,
(2)∵
=3×2n﹣1+(﹣1)n﹣1,
∴Sn=3×(1+2+22+…+2n﹣1)+[1+(﹣1)+(﹣1)2+…+(﹣1)n﹣1]
=3×
+[1+(﹣1)+(﹣1)2+…+(﹣1)n﹣1]
=3·2n﹣2+[1+(﹣1)+(﹣1)2+…+(﹣1)n﹣1]
=
.
∴
∴
=2[
∴
∵
∴{
∴
即
∴
(2)∵
∴Sn=3×(1+2+22+…+2n﹣1)+[1+(﹣1)+(﹣1)2+…+(﹣1)n﹣1]
=3×
=3·2n﹣2+[1+(﹣1)+(﹣1)2+…+(﹣1)n﹣1]
=
练习册系列答案
相关题目