题目内容

参数方程,(θ为参数)表示的曲线是( )
A.直线
B.圆
C.椭圆
D.抛物线
【答案】分析:把参数方程,(θ为参数)变形为,利用平方关系消去参数θ即可得出圆锥曲线,再利用定义得出即可.
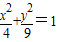
解答:解:参数方程,(θ为参数),消去参数θ得,即为椭圆的方程.
故选C.
点评:正确理解圆锥曲线的标准方程是解题的关键.
练习册系列答案
相关题目

违法和不良信息举报电话:027-86699610 举报邮箱:58377363@163.com

精英家教网