题目内容
已知数列{an}满足a1=4,an=4-(1)求数列{bn}的通项公式;
(2)当n∈N*时,求证:
【答案】分析:(1)
,由
知
.代入已知得
转化为
,利用等差数列的通项公式即可得出.
(2)当n≥2时,通过放缩和裂项可得
=
.进而即可证明.
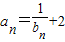
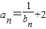
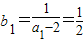
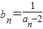
解答:解:(1)
,由
知
.
代入已知得
即
.
故
.
(2)当n≥2时
=
.
当n=1时,不等式成立
当n≥2时,左边
…+
=
.
点评:正确变形、利用等差数列的通项公式和放缩法、裂项求和即可得出.
(2)当n≥2时,通过放缩和裂项可得
解答:解:(1)
代入已知得
故
(2)当n≥2时
当n=1时,不等式成立
当n≥2时,左边
点评:正确变形、利用等差数列的通项公式和放缩法、裂项求和即可得出.
练习册系列答案
相关题目