题目内容
在数列{an}中,
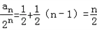
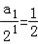
=1,且对任意的n∈N+,都有
.
(1)求证:数列
是等差数列;
(2)设数列{an}的前n项和为Sn,求证:对任意的n∈N+,Sn+1﹣4an都为定值.
(1)求证:数列
(2)设数列{an}的前n项和为Sn,求证:对任意的n∈N+,Sn+1﹣4an都为定值.
证明:(1)∵
,
∴
.
∴数列
是以
为首项,
为公差的等差数列.
(2)由(1)知
,
∴
.
∴
.…①∴
.…②
∴由②﹣①可得
.
∴
,
故对任意的n∈N+,Sn+1﹣4an都为定值.
∴
∴数列
(2)由(1)知
∴
∴
∴由②﹣①可得
∴
故对任意的n∈N+,Sn+1﹣4an都为定值.
练习册系列答案
相关题目