题目内容
已知等比数列{an}中,各项都是正数,且a1,A.
B.
C.
D.
【答案】分析:由条件可得 a3=a1+2 2a2 ,即a1q2=a1+2a1q,解得 q=1+
.再由
=
=q2,运算求得结果.
解答:解:∵等比数列{an}中,各项都是正数,且a1,
,2a2成等差数列,故公比q不等于1.
∴a3=a1+2 2a2 ,即a1q2=a1+2a1q,解得 q=1+
.
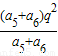
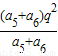
∴
=
=q2=3+2
,
故选C.
点评:本题主要考查等差数列的定义和性质,等比数列的通项公式,属于基础题.
解答:解:∵等比数列{an}中,各项都是正数,且a1,
∴a3=a1+2 2a2 ,即a1q2=a1+2a1q,解得 q=1+
∴
故选C.
点评:本题主要考查等差数列的定义和性质,等比数列的通项公式,属于基础题.
练习册系列答案
相关题目