题目内容
已知数列{an}的前n项和为Sn,a1=1,an+1=2Sn+1(n∈N*),等差数列{bn}中,bn>0(n∈N*),且b1+b2+b3=15,又a1+b1、a2+b2、a3+b3成等比数列,
(1)求数列{an}、{bn}的通项公式;
(2)求数列{an+bn}的前n项和Tn。
(1)求数列{an}、{bn}的通项公式;
(2)求数列{an+bn}的前n项和Tn。
解:(1)∵
,
∴![]()
,
∴
,
∴
,
∴
,
而
,
∴
,
∴数列{an}是以1为首项,3为公比的等比数列,
∴
,∴
,
在等差数列{bn}中,∵
,
∴
,
又因为
成等比数列,
设等差数列{bn}的公差为d,
∴(1+5-d)(9+5+d)=64,解得d=-10或d=2,
∵bn>0(n∈N*),
∴舍去d=-10,取d=2,
∴
,
∴
。
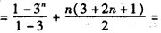
(2)由(1)知,
![]()
![]()
![]()
。
练习册系列答案
相关题目
已知数列{an}的前n项和Sn=an2+bn(a、b∈R),且S25=100,则a12+a14等于( )
| A、16 | B、8 | C、4 | D、不确定 |