题目内容
已知向量
,
,函数
.
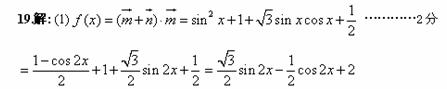
(1)求
的最小正周期
;
(2)已知
,
,
分别为
内角
,
,
的对边,
为锐角,
,
,且
恰是
在
,
上的最大值,求
,
和
的面积
.
![]()
…………5分
因为
,所以![]()
![]()
练习册系列答案
相关题目
题目内容
已知向量
,
,函数
.
(1)求
的最小正周期
;
(2)已知
,
,
分别为
内角
,
,
的对边,
为锐角,
,
,且
恰是
在
,
上的最大值,求
,
和
的面积
.
![]()
…………5分
因为
,所以![]()
![]()