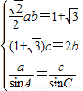
题目内容
在△ABC中,A,B,C所对的边分别为a,b,c,(1)求C;
(2)若
【答案】分析:(1)先利用正弦定理把题设条件中的边转化成角的正弦,进而利用两角和的公式化简整理求的cotC的值,进而求得C.
(2)根据
求得ab的值,进而利用题设中
和正弦定理联立方程组,求得a,b和c.
解答:解:(1)由
得
则有
=
得cotC=1即
、
(2)由
推出
;而
,
即得
,
则有
解得
.
点评:本题主要考查了正弦定理得应用.解题的关键是利用正弦定理解决解决三角形问题中的边,角问题.
(2)根据
解答:解:(1)由
则有
得cotC=1即
(2)由
即得
则有
点评:本题主要考查了正弦定理得应用.解题的关键是利用正弦定理解决解决三角形问题中的边,角问题.
练习册系列答案
相关题目
在△ABC中,∠A、∠B、∠C所对的边长分别是a、b、c.满足2acosC+ccosA=b.则sinA+sinB的最大值是( )
A、
| ||||
| B、1 | ||||
C、
| ||||
D、
|