题目内容
已知数列{an}为等差数列,且a1=1,a5=5;设数列{bn}的前n项和为Sn,且bn=2-Sn.(Ⅰ)求数列{an}和{bn}的通项公式;
(Ⅱ)若cn=an•bn(n=1,2,3,…),Tn为数列{cn}的前n项和,求Tn.
【答案】分析:(Ⅰ)由bn=2-Sn,令n=1,则b1=2-S1,又S1=b1,所以b1=1.由此能够求出数列{an}和{bn}的通项公式.
(Ⅱ)数列{an}为等差数列,公差d=1,可得an=n,从而
,由此能够求出数列{cn}的前n项和求Tn.
解答:解:(Ⅰ)由bn=2-Sn,令n=1,
则b1=2-S1,
又S1=b1,所以b1=1…(1分)
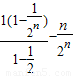
…(3分)
,…(4分)
.…(6分)
(Ⅱ)数列{an}为等差数列,公差d=1,得an=n…(8分)
从而
,…(9分)
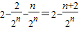
∴

∴
=
=
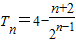
.…(11分)
从而
.…(12分)
点评:本题考查数列的通项公式的求法,考查数列的前n项和公式的求法.解题时要认真审题,仔细解答,注意等价转化思想的合理运用.
(Ⅱ)数列{an}为等差数列,公差d=1,可得an=n,从而
解答:解:(Ⅰ)由bn=2-Sn,令n=1,
则b1=2-S1,
又S1=b1,所以b1=1…(1分)
(Ⅱ)数列{an}为等差数列,公差d=1,得an=n…(8分)
从而
∴
∴
=
从而
点评:本题考查数列的通项公式的求法,考查数列的前n项和公式的求法.解题时要认真审题,仔细解答,注意等价转化思想的合理运用.
练习册系列答案
相关题目
定义:在数列{an}中,an>0且an≠1,若
为定值,则称数列{an}为“等幂数列”.已知数列{an}为“等幂数列”,且a1=2,a2=4,Sn为数列{an}的前n项和,则S2009=( )
| a | an+1 n |
| A、6026 | B、6024 |
| C、2 | D、4 |