题目内容
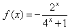
已知定义在实数集R上的奇函数f(x)有最小正周期2,且当x∈(0,1)时,
,
(Ⅰ)求函数f(x)在(-1,1)上的解析式;
(Ⅱ)判断f(x)在(0,1)上的单调性;
(Ⅲ)当λ取何值时,方程f(x)=λ在(-1,1)上有实数解?
(Ⅰ)求函数f(x)在(-1,1)上的解析式;
(Ⅱ)判断f(x)在(0,1)上的单调性;
(Ⅲ)当λ取何值时,方程f(x)=λ在(-1,1)上有实数解?
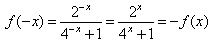
解:(Ⅰ)∵f(x)是x∈R上的奇函数,
∴f(0)=0,
设x∈(-1,0),则-x∈(0,1),
,
∴
,
。
(Ⅱ)设
,
,
∵
,
∴
,
∴
,
∴f(x)在(0,1)上为减函数。
(Ⅲ)∵f(x)在(0,1)上为减函数,
∴
,
同理,f(x)在(-1,0)上时,
,
又f(0)=0,
当
时,
方程f(x)=λ在x∈(-1,1)上有实数解。
∴f(0)=0,
设x∈(-1,0),则-x∈(0,1),
∴
(Ⅱ)设
∵
∴
∴
∴f(x)在(0,1)上为减函数。
(Ⅲ)∵f(x)在(0,1)上为减函数,
∴
同理,f(x)在(-1,0)上时,
又f(0)=0,
当
方程f(x)=λ在x∈(-1,1)上有实数解。
练习册系列答案
相关题目