题目内容
已知等差数列{an}各项都不相同,前3项和为18,且a1、a3、a7成等比数列(1)求数列{an}的通项公式;
(2)若数列{bn}满足bn+1-bn=an(n∈N*),且b1=2,求数列
【答案】分析:(1)根据题意,得 a1+a2+a3=3a2=18,解得a2=6,再由a1、a3、a7成等比数列,建立关于公差d的方程并解之得d=2,由等差数列通项公式即可算出数列{an}的通项公式;
(2)利用逐项作差、累加求和的方法,结合等差数列的前n项和公式算出bn=n(n+1),得到
关于n的表达式并化简得
,利用裂项相消法求和可得数列
的前n项和Tn的表达式.
解答:解:(1)依题意,得
a1+a2+a3=18,即3a2=18,解得a2=6
设数列{an}的公差为d,可知d≠0
可得
,即(6+d)2=(6-d)(6+5d)
解之得 d=2
∴an=a2+(n-2)d=2(n+1),即数列{an}的通项公式为an=2(n+1);
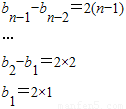
(2)由已知bn+1-bn=an
∴当n≥2时,bn-bn-1=an-1=2n,所以可知

以上各式进行累加,可得bn=2(1+2+3+…+n)=n(n+1)
又∵b1=2=1×(1+1),也满足bn=n(n+1)
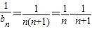
∴可知当n∈N*时,bn=n(n+1)
因此
,
可得
.
点评:本题给出等差数列{an}满足的条件,求它的表达式并依此求数列
的前n项和Tn.着重考查了等差数列的通项公式、求和公式和裂项相消法求和等知识,属于中档题.
(2)利用逐项作差、累加求和的方法,结合等差数列的前n项和公式算出bn=n(n+1),得到
解答:解:(1)依题意,得
a1+a2+a3=18,即3a2=18,解得a2=6
设数列{an}的公差为d,可知d≠0
可得
解之得 d=2
∴an=a2+(n-2)d=2(n+1),即数列{an}的通项公式为an=2(n+1);
(2)由已知bn+1-bn=an
∴当n≥2时,bn-bn-1=an-1=2n,所以可知
以上各式进行累加,可得bn=2(1+2+3+…+n)=n(n+1)
又∵b1=2=1×(1+1),也满足bn=n(n+1)
∴可知当n∈N*时,bn=n(n+1)
因此
可得
点评:本题给出等差数列{an}满足的条件,求它的表达式并依此求数列
练习册系列答案
相关题目