题目内容

的内角所对的边分别为,若三边的长为连续的三个正整数,且,则=(     )

A.4:3:2       B.5:6:7          C.5:4:3               D.6:5:4

 

【答案】

D

【解析】

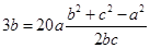
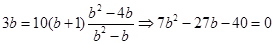
试题分析:我们知道三角形中大角对大边,因为A>B>C所以,又因为三边是连续的整数所以不妨设在利用余弦定理将角转化成边代入可得

由正弦定理知,所以答案为D.

考点:正弦定理、余弦定理

 

练习册系列答案
相关题目

违法和不良信息举报电话:027-86699610 举报邮箱:58377363@163.com

精英家教网