题目内容
设椭圆中心在坐标原点,A(2,0),B(0,1)是它的两个顶点,直线y=kx(k>0)与AB相交于点D,与椭圆相交于E、F两点.(Ⅰ)若
(Ⅱ)求四边形AEBF面积的最大值.
【答案】分析:(1)依题可得椭圆的方程,设直线AB,EF的方程分别为x+2y=2,y=kx,D(x,kx),E(x1,kx1),F(x2,kx2),且x1,x2满足方程(1+4k2)x2=4,进而求得x2的表达式,进而根据
求得x的表达式,由D在AB上知x+2kx=2,进而求得x的另一个表达式,两个表达式相等求得k.
(Ⅱ)由题设可知|BO|和|AO|的值,设y1=kx1,y2=kx2,进而可表示出四边形AEBF的面积进而根据基本不等式的性质求得最大值.
解答:解:(Ⅰ)依题设得椭圆的方程为
,
直线AB,EF的方程分别为x+2y=2,y=kx(k>0).
如图,设D(x,kx),E(x1,kx1),F(x2,kx2),其中x1<x2,

且x1,x2满足方程(1+4k2)x2=4,
故
.①
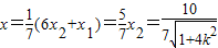
由
知x-x1=6(x2-x),得
;
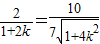
由D在AB上知x+2kx=2,得
.
所以
,
化简得24k2-25k+6=0,
解得
或
.
(Ⅱ)由题设,|BO|=1,|AO|=2.
设y1=kx1,y2=kx2,由①得x2>0,y2=-y1>0,
故四边形AEBF的面积为S=S△OBE+S△OBF+S△OAE+S△OAF=
=x2+2y2
=
=
=
,
当x2=2y2时,上式取等号.所以S的最大值为
.
点评:本题主要考查了直线与圆锥曲线的综合问题.直线与圆锥曲线的综合问题是支撑圆锥曲线知识体系的重点内容,问题的解决具有入口宽、方法灵活多样等,而不同的解题途径其运算量繁简差别很大.
(Ⅱ)由题设可知|BO|和|AO|的值,设y1=kx1,y2=kx2,进而可表示出四边形AEBF的面积进而根据基本不等式的性质求得最大值.
解答:解:(Ⅰ)依题设得椭圆的方程为
直线AB,EF的方程分别为x+2y=2,y=kx(k>0).
如图,设D(x,kx),E(x1,kx1),F(x2,kx2),其中x1<x2,
且x1,x2满足方程(1+4k2)x2=4,
故
由
由D在AB上知x+2kx=2,得
所以
化简得24k2-25k+6=0,
解得
(Ⅱ)由题设,|BO|=1,|AO|=2.
设y1=kx1,y2=kx2,由①得x2>0,y2=-y1>0,
故四边形AEBF的面积为S=S△OBE+S△OBF+S△OAE+S△OAF=
=
当x2=2y2时,上式取等号.所以S的最大值为
点评:本题主要考查了直线与圆锥曲线的综合问题.直线与圆锥曲线的综合问题是支撑圆锥曲线知识体系的重点内容,问题的解决具有入口宽、方法灵活多样等,而不同的解题途径其运算量繁简差别很大.
练习册系列答案
相关题目