题目内容
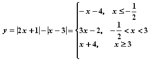
已知函数f(x)=|2x+1|-|x-3|。
(1)解不等式f(x)≤4;
(2)若存在x使得f(x)+a≤0成立,求实数a的取值范围。
(1)解不等式f(x)≤4;
(2)若存在x使得f(x)+a≤0成立,求实数a的取值范围。
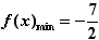
| 解:(1) 做出函数 它与直线y=4的交点为(-8,4)和(2,4) ∴ (2)由 所以存在x使得f(x)+a≤0成立 |
练习册系列答案
相关题目
已知函数f(x)=x2-bx的图象在点A(1,f(1))处的切线l与直线3x-y+2=0平行,若数列{
}的前n项和为Sn,则S2010的值为( )
| 1 |
| f(n) |
A、
| ||
B、
| ||
C、
| ||
D、
|