题目内容
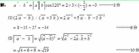
已知,,与的夹角为。求(1). (2)
解析
已知,,如果与的夹角为锐角,则的取值范围是
已知,且与的夹角为钝角,则实数的取值范围是( )
A. B. C. D.
已知,则与的夹角为( )
A. B. C. D.
已知,,则与的夹角为 .
已知向量且与的夹角为钝角,则的取值范围是
A. [2,6] B. C. D. (2,6)