题目内容
已知函数f(x)=ln|x|(x≠0),函数g(x)=(1)当x≠0时,求函数y=g(x)的表达式;
(2)若a>0,函数y=g(x)在(0,+∞)上的最小值是2,求a的值;
(3)在(2)的条件下,求直线y=
【答案】分析:(1)分情况讨论x的取值化简绝对值,求出f′(x)得到x>0和x<0导函数相等,代入到g(x)中得到即可;
(2)根据基本不等式得到g(x)的最小值即可求出a;
(3)先联立直线与函数解析式求出交点,利用定积分求直线和函数图象围成面积的方法求出即可.
解答:解:(1)∵
,
∴当x>0时,
;当x<0时,
∴当x>0时,
;当x<0时,
.
∴当x≠0时,函数
.
(2)∵由(1)知当x>0时,
,
∴当a>0,x>0时,
当且仅当
时取等号.
∴函数
在
上的最小值是
,∴依题意得
∴a=1.
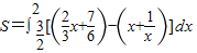
(3)由
解得
∴直线
与函数
的图象所围成图形的面积
=
点评:考查学生导数运算的能力,理解函数最值及几何意义的能力,利用定积分求平面图形面积的能力.
(2)根据基本不等式得到g(x)的最小值即可求出a;
(3)先联立直线与函数解析式求出交点,利用定积分求直线和函数图象围成面积的方法求出即可.
解答:解:(1)∵
∴当x>0时,
∴当x>0时,
∴当x≠0时,函数
(2)∵由(1)知当x>0时,
∴当a>0,x>0时,
∴函数
(3)由
∴直线
点评:考查学生导数运算的能力,理解函数最值及几何意义的能力,利用定积分求平面图形面积的能力.
练习册系列答案
相关题目