题目内容
已知椭圆C的中心在坐标原点,焦点在x轴上,长轴长为(I)求椭圆C的方程;
(II)在x轴上是否存在一点M,使得
【答案】分析:(I)根据题意设出椭圆的方程,根据长轴2a的长和离心率e=
,列出方程组求出a与c的值,然后根据椭圆的性质求出b的值,把a与b的值代入设出的椭圆方程即可确定出椭圆C的方程;
(II)根据(I)求出的c的值写出椭圆左焦点F1的坐标,假设在x轴上存在一点M(t,0),使得
恒为常数,分两种情况考虑:①当直线l与x轴不垂直时,设出过左焦点F1的直线方程,以及P和Q两点的坐标,把所设的直线方程与椭圆方程联立,消去y得到关于x的方程,利用韦达定理求出两根之和与两根之积,然后表示出
,把其中的纵坐标代换为横坐标,化简后将求出的两根之和与两根之积代入得到一个关系式,由此关系式与k的取值无关,得到关于t的式子为0,即可求出此时t的值,从而此时这个常数;②当直线l与x轴垂直时,求出P与Q两点的坐标,且求出t及
的值,与①中求出的常数相等,综上,在x轴上存在一点M,使得
恒为常数.
解答:解:(I)设椭圆C的方程为
.
由题意,得
,解得
,所以b2=2.(3分)
所求的椭圆方程为
.(4分)
(II)由(I)知F1(-1,0).
假设在x轴上存在一点M(t,0),使得
恒为常数.
①当直线l与x轴不垂直时,设其方程为y=k(x+1),P(x1,y1)、Q(x2,y2).
由
得(2+3k2)x2+6k2x+(3k2-6)=0.(6分)
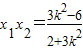
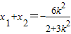
所以
,
.(7分)
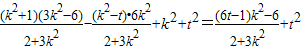
=(x1-t)(x2-t)+y1y2
=(x1-t)(x2-t)+k2(x1+1)(x2+1)
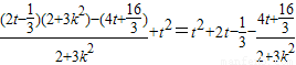
=(k2+1)x1x2+(k2-t)(x1+x2)+k2+t2
=
=
.
因为
是与k无关的常数,从而有
,即
.(10分)
此时
.(11分)
②当直线l与x轴垂直时,此时点P、Q的坐标分别为
,
当
时,亦有
.(13分)
综上,在x轴上存在定点
,使得
恒为常数,且这个常数为
.(14分)
点评:本题考查椭圆的应用,及平面向量的运算法则,考查了分类讨论的数学思想.关键是看清题中给出的条件,灵活运用韦达定理,中点坐标公式进行求解.
(II)根据(I)求出的c的值写出椭圆左焦点F1的坐标,假设在x轴上存在一点M(t,0),使得
解答:解:(I)设椭圆C的方程为
由题意,得
所求的椭圆方程为
(II)由(I)知F1(-1,0).
假设在x轴上存在一点M(t,0),使得
①当直线l与x轴不垂直时,设其方程为y=k(x+1),P(x1,y1)、Q(x2,y2).
由
所以
=(x1-t)(x2-t)+k2(x1+1)(x2+1)
=(k2+1)x1x2+(k2-t)(x1+x2)+k2+t2
=
=
因为
此时
②当直线l与x轴垂直时,此时点P、Q的坐标分别为
当
综上,在x轴上存在定点
点评:本题考查椭圆的应用,及平面向量的运算法则,考查了分类讨论的数学思想.关键是看清题中给出的条件,灵活运用韦达定理,中点坐标公式进行求解.
练习册系列答案
相关题目