题目内容

等差数列的前项和为30,前项和为100,则它的前项和是(     )

A.130             B.170           C.210           D.260

 

【答案】

C

【解析】

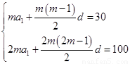
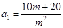
试题分析:设等差数列的首项为,公差为,根据等差数列前项和公式,可得,解得,所以(另解:由等差数列的性质,…也成等差数列,所以有,从而可求得).

考点:等差数列前项和.

 

练习册系列答案
相关题目

违法和不良信息举报电话:027-86699610 举报邮箱:58377363@163.com

精英家教网