题目内容
已知函数f(x)=lnx,g(x)=ex.( I)若函数φ(x)=f(x)-
(Ⅱ)设直线l为函数的图象上一点A(x,f (x))处的切线.证明:在区间(1,+∞)上存在唯一的x,使得直线l与曲线y=g(x)相切.
【答案】分析:(Ⅰ)求导函数,确定导数恒大于0,从而可得求函数φ (x)的单调区间;
(Ⅱ)先求直线l为函数的图象上一点A(x,f (x))处的切线方程,再设直线l与曲线y=g(x)相切于点
,进而可得
,再证明在区间(1,+∞)上x存在且唯一即可.
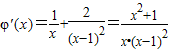
解答:(Ⅰ)解:
=
,
.(2分)
∵x>0且x≠1,∴φ'(x)>0
∴函数φ(x)的单调递增区间为(0,1)和(1,+∞).(4分)
(Ⅱ)证明:∵
,∴
,
∴切线l的方程为
,
即
,①(6分)
设直线l与曲线y=g(x)相切于点
,
∵g'(x)=ex,∴
,∴x1=-lnx.(8分)
∴直线l也为
,
即
,②(9分)
由①②得
,
∴
.(11分)
下证:在区间(1,+∞)上x存在且唯一.
由(Ⅰ)可知,φ(x)=
在区间(1,+∞)上递增.
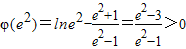
又
,
,(13分)
结合零点存在性定理,说明方程φ(x)=0必在区间(e,e2)上有唯一的根,这个根就是所求的唯一x.
故结论成立.
点评:本题以函数为载体,考查导数知识的运用,考查函数的单调性,考查曲线的切线,同时考查零点存在性定理,综合性比较强.
(Ⅱ)先求直线l为函数的图象上一点A(x,f (x))处的切线方程,再设直线l与曲线y=g(x)相切于点
解答:(Ⅰ)解:
∵x>0且x≠1,∴φ'(x)>0
∴函数φ(x)的单调递增区间为(0,1)和(1,+∞).(4分)
(Ⅱ)证明:∵
∴切线l的方程为
即
设直线l与曲线y=g(x)相切于点
∵g'(x)=ex,∴
∴直线l也为
即
由①②得
∴
下证:在区间(1,+∞)上x存在且唯一.
由(Ⅰ)可知,φ(x)=
又
结合零点存在性定理,说明方程φ(x)=0必在区间(e,e2)上有唯一的根,这个根就是所求的唯一x.
故结论成立.
点评:本题以函数为载体,考查导数知识的运用,考查函数的单调性,考查曲线的切线,同时考查零点存在性定理,综合性比较强.
练习册系列答案
相关题目