题目内容
己知集合A={x|x2-2x-3<0},集合B={x|y=lg(x-1)(3x+1)},集合C={x|2x2+mx-8<0}.(1)求A∩B、A∪(∁RB);
(2)若(A∩B)⊆C,求m的取值范围.
【答案】分析:求出集合A中不等式的解集,确定出集合A,求出集合B中函数的定义域,确定出集合B,
(1)找出A与B的公共部分,求出两集合的交集,找出R中不属于B的部分求出B的补集,找出既属于A又属于B补集的部分,即可确定出所求的集合;
(2)求出集合C中不等式的解集,确定出集合C,由A与B交集为C的子集,列出关于m的不等式,求出不等式的解集,即可确定出m的范围.
解答:解:由集合A中的不等式x2-2x-3<0,变形得:(x-3)(x+1)<0,
解得:-1<x<3,即A=(-1,3),
由集合B中的函数有意义,得到(x-1)(3x+1)>0,
解得:x>1或x<-
,即B=(-∞,-
)∪(1,+∞),
(1)A∩B=(-1,-
)∪(1,3),
∵∁RB=[-
,1],∴A∪(∁RB)=(-1,3);
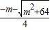
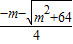
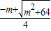
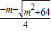
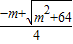
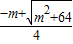
(2)由集合C中的不等式2x2+mx-8<0,解得:
<x<
,
∴C=(
,
),
∵(A∩B)⊆C,∴
<-1且
>3,
解得:m<-6,则m的取值范围为m<-6.
点评:此题考查了交、并、补集的混合运算,以及集合关系中参数的取值问题,熟练掌握交、并、补集的定义是解本题的关键.
(1)找出A与B的公共部分,求出两集合的交集,找出R中不属于B的部分求出B的补集,找出既属于A又属于B补集的部分,即可确定出所求的集合;
(2)求出集合C中不等式的解集,确定出集合C,由A与B交集为C的子集,列出关于m的不等式,求出不等式的解集,即可确定出m的范围.
解答:解:由集合A中的不等式x2-2x-3<0,变形得:(x-3)(x+1)<0,
解得:-1<x<3,即A=(-1,3),
由集合B中的函数有意义,得到(x-1)(3x+1)>0,
解得:x>1或x<-
(1)A∩B=(-1,-
∵∁RB=[-
(2)由集合C中的不等式2x2+mx-8<0,解得:
∴C=(
∵(A∩B)⊆C,∴
解得:m<-6,则m的取值范围为m<-6.
点评:此题考查了交、并、补集的混合运算,以及集合关系中参数的取值问题,熟练掌握交、并、补集的定义是解本题的关键.
练习册系列答案
相关题目