题目内容
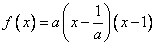
已知函数f(x)=ax2-(a+1)x+1,
(Ⅰ)当x∈(
,1)时,不等式f(x)>0恒成立,求实数a的取值范围;
(Ⅱ)设H(x)=[f(x)+a-1]ex,当a>-1且a≠0时,时求函数H(x)的单调区间和极值。
(Ⅰ)当x∈(
(Ⅱ)设H(x)=[f(x)+a-1]ex,当a>-1且a≠0时,时求函数H(x)的单调区间和极值。
解:(Ⅰ)①当a=0时,f(x)=-x+1在
上f(x)>0一定成立;
②当a≠0时,
,
当a>0时,二次函数y=f(x)的图象开口向上,且与x轴有两个交点(1,0)和
,
要使f(x)>0在
上恒成立,当且仅当
,即0<a≤1;
当a<0时,二次函数y=f(x)的图象开口向下,且与x轴有两个交点(1,0)和
,
要使f(x)>0在
上恒成立,当且仅当
,即-2≤a≤1;
综合可得实数a的取值范围是:-2≤a≤1;
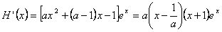
(Ⅱ)
,
,
令
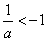
,解得
或x=-1,
①当a>0时,则
,当x变化时,
的变化情况如下表:

所以函数H(x)在
内是增函数,在
内是减函数,
函数H(x)在x=-1处取得极大值H(-1),且
;
函数H(x)在
处取得极小值
,且
;
②当-1<a<0时,则
,当x变化时,
的变化情况如下表:

所以函数H(x)在
内是减函数,在
内是增函数,
函数H(x)在x=-1处取得极大值H(-1),且
;
函数H(x)在
处取得极小值
,且
。
②当a≠0时,
当a>0时,二次函数y=f(x)的图象开口向上,且与x轴有两个交点(1,0)和
要使f(x)>0在
当a<0时,二次函数y=f(x)的图象开口向下,且与x轴有两个交点(1,0)和
要使f(x)>0在
综合可得实数a的取值范围是:-2≤a≤1;
(Ⅱ)
令
①当a>0时,则
所以函数H(x)在
函数H(x)在x=-1处取得极大值H(-1),且
函数H(x)在
②当-1<a<0时,则
所以函数H(x)在
函数H(x)在x=-1处取得极大值H(-1),且
函数H(x)在
练习册系列答案
相关题目
已知函数f(x)=a-
,若f(x)为奇函数,则a=( )
| 1 |
| 2x+1 |
A、
| ||
| B、2 | ||
C、
| ||
| D、3 |