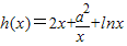
题目内容
已知函数(Ⅰ)若x=1是函数h(x)=f(x)+g(x)的极值点,求实数a的值;
(Ⅱ)是否存在正实数a,使对任意的x1,x2∈[1,e](e为自然对数的底数)都有f(x1)≥g(x2)成立,若存在,求出实数a的取值范围;若不存在,说明理由.
【答案】分析:(1)利用函数极值点的导数等于0,且此点的左侧和右侧导数的符号相反,求得实数a的值.
(2)问题等价于对任意的x1,x2∈[1,e]时,都有[f(x)]min≥[g(x)]max,分类讨论,利用导数的符号
判断函数的单调性,由单调性求出函数f(x)的最小值及g(x)]的最大值,根据它们之间的关系求出
实数a的取值范围.
解答:(1)解:∵
,其定义域为(0,+∞),∴
.
∵x=1是函数h(x)的极值点,∴h'(1)=0,即3-a2=0,∵a>0,∴
.
经检验,当
时,x=1是函数h(x)的极值点,∴
.
(2)解:假设存在实数a,对任意的x1,x2∈[1,e]都有f(x1)≥g(x2)成立,
等价于对任意的x1,x2∈[1,e]时,都有[f(x)]min≥[g(x)]max,当x∈[1,e]时,
.
∴函数g(x)=x+lnx在[1,e]上是增函数.∴[g(x)]max=g(e)=e+1.
∵
,且x∈[1,e],a>0,
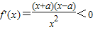
①当0<a<1且x∈[1,e]时,
,
∴函数
在[1,e]上是增函数.∴[f(x)]min=f(1)=1+a2.
由1+a2≥e+1,得 a≥
,又0<a<1,∴a 不合题意.
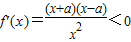
②当1≤a≤e时,
若1≤x<a,则
,若a<x≤e,则
.
∴函数
在[1,a)上是减函数,在(a,e]上是增函数.
∴[f(x)]min=f(a)=2a.2a≥e+1,得 a≥
,1≤a≤e,∴
≤a≤e.
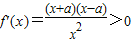
③当a>e且x∈[1,e]时,
,
∴函数
在[1,e]上是减函数.∴
.
由
≥e+1,得 a≥
,又a>e,∴a>e.
综上所述,存在正实数a的取值范围为
.
点评:本题考查函数在某点存在极值的条件,利用导数求函数在闭区间上的最值.
(2)问题等价于对任意的x1,x2∈[1,e]时,都有[f(x)]min≥[g(x)]max,分类讨论,利用导数的符号
判断函数的单调性,由单调性求出函数f(x)的最小值及g(x)]的最大值,根据它们之间的关系求出
实数a的取值范围.
解答:(1)解:∵
∵x=1是函数h(x)的极值点,∴h'(1)=0,即3-a2=0,∵a>0,∴
经检验,当
(2)解:假设存在实数a,对任意的x1,x2∈[1,e]都有f(x1)≥g(x2)成立,
等价于对任意的x1,x2∈[1,e]时,都有[f(x)]min≥[g(x)]max,当x∈[1,e]时,
∴函数g(x)=x+lnx在[1,e]上是增函数.∴[g(x)]max=g(e)=e+1.
∵
①当0<a<1且x∈[1,e]时,
∴函数
由1+a2≥e+1,得 a≥
②当1≤a≤e时,
若1≤x<a,则
∴函数
∴[f(x)]min=f(a)=2a.2a≥e+1,得 a≥
③当a>e且x∈[1,e]时,
∴函数
由
综上所述,存在正实数a的取值范围为
点评:本题考查函数在某点存在极值的条件,利用导数求函数在闭区间上的最值.
练习册系列答案
相关题目