题目内容
如图,四棱锥P-ABCD中,底面ABCD为平行四边形,∠DAB=60°,AB=2AD,PD⊥底面ABCD(1)证明:PA⊥BD;
(2)若PD=AD,求二面角A-PB-D的余弦值.
【答案】分析:(1)证明PA⊥BD,只需证明BD⊥平面PAD,即需证明BD⊥AD,BD⊥PD;
(2)过D作DE⊥PB与E,连接AE,则PB⊥面ADE,PB⊥AE,∠DEA为二面角A-PB-D的平面角.RT△ADE中求解即可.
解答:(1)证明:因为∠DAB=60°,AB=2AD=2,
由余弦定理得=
从而BD2+AD2=AB2,故BD⊥AD
又PD⊥底面ABCD,BD?底面ABCD,∴BD⊥PD
∵AD∩PD=D
∴BD⊥平面PAD
∵PA?平面PAD
∴PA⊥BD
(2)由(1)得BD⊥PD,AD⊥PD,∴AD⊥面PDB.AD⊥PB
过D作DE⊥PB与E,连接AE,则PB⊥面ADE,PB⊥AE,∠DEA为二面角A-PB-D的平面角.
在RT△PDB中,
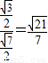
RT△ADE中,cos∠DEA=
=
=
二面角A-PB-D的余弦值为
点评:本题考查空间直线位置关系的判定,空间角的计算,考查转化计算、空间想象、推理论证等能力.
(2)过D作DE⊥PB与E,连接AE,则PB⊥面ADE,PB⊥AE,∠DEA为二面角A-PB-D的平面角.RT△ADE中求解即可.
解答:(1)证明:因为∠DAB=60°,AB=2AD=2,
由余弦定理得=
从而BD2+AD2=AB2,故BD⊥AD
又PD⊥底面ABCD,BD?底面ABCD,∴BD⊥PD
∵AD∩PD=D
∴BD⊥平面PAD
∵PA?平面PAD
∴PA⊥BD
(2)由(1)得BD⊥PD,AD⊥PD,∴AD⊥面PDB.AD⊥PB
过D作DE⊥PB与E,连接AE,则PB⊥面ADE,PB⊥AE,∠DEA为二面角A-PB-D的平面角.
在RT△PDB中,
RT△ADE中,cos∠DEA=
二面角A-PB-D的余弦值为
点评:本题考查空间直线位置关系的判定,空间角的计算,考查转化计算、空间想象、推理论证等能力.
练习册系列答案
相关题目