题目内容
已知数列{an}满足:a1=3,
,n∈N*。
(1)证明数列
为等比数列,并求数列{an}的通项公式;
(2)设bn=an(an+1-2),数列{bn}的前n项和为Sn,求证:Sn<2;
(3)设cn=n2(an-2),求cncn+1的最大值。
(1)证明数列
(2)设bn=an(an+1-2),数列{bn}的前n项和为Sn,求证:Sn<2;
(3)设cn=n2(an-2),求cncn+1的最大值。
解:(1)∵
,
又
,
∴
等比数列,且公比为2,
∴
,解得
。
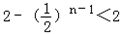
(2)证明:
,
∴当n≥2时,

=
=
。
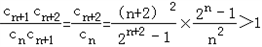
(3)
令
,
∴[(n+2)2-4n2]2n>(n+2)2-n2,
∴(3n+2)(2-n)2n>4n+4,解n=1
.
所以:c1c2<c2c3>c3c4>…
故
。
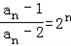
又
∴
∴
(2)证明:
∴当n≥2时,
=
=
(3)
令
∴[(n+2)2-4n2]2n>(n+2)2-n2,
∴(3n+2)(2-n)2n>4n+4,解n=1
所以:c1c2<c2c3>c3c4>…
故
练习册系列答案
相关题目