题目内容
已知函数(1)求
(2)求f(x)的单调减区间;
(3)若
【答案】分析:(1)先根据倍角公式,诱导公式及和差角公式,化简函数的解析式,将x=
代入,可得答案.
(2)根据(1)中函数的解析式,根据正弦函数的单调性,可求出f(x)的单调减区间;
(3)概据
,求出f(x)的值域,进而结合绝对值不等式的解法,求得不等式|f(x)-m|<2恒成立时,实数m的取值范围
解答:解:(1)∵
=
=
=
…(4分)
∴
…(5分)
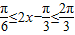
(2)由
…(6分)
得
…(7分)
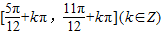
∴f(x)的单调减区间是
…(9分)
(3)∵
,∴
…(10分)
∴
,
…(11分)
由|f(x)-m|<2得m-2<f(x)<m+2…(12分)
∴m-2<2且m+2>3,
即1<m<4…(14分)
点评:本题考查的知识点是二倍角的余弦公式,二倍角的正弦公式,两角差的正弦公式,三角函数的图象和性质,其中化简函数解析式为正弦型函数是解答的关键.
(2)根据(1)中函数的解析式,根据正弦函数的单调性,可求出f(x)的单调减区间;
(3)概据
解答:解:(1)∵
=
=
∴
(2)由
得
∴f(x)的单调减区间是
(3)∵
∴
由|f(x)-m|<2得m-2<f(x)<m+2…(12分)
∴m-2<2且m+2>3,
即1<m<4…(14分)
点评:本题考查的知识点是二倍角的余弦公式,二倍角的正弦公式,两角差的正弦公式,三角函数的图象和性质,其中化简函数解析式为正弦型函数是解答的关键.
练习册系列答案
相关题目