题目内容

按如图所示的程序框图运算,若输出k的值为2,则输入x的取值范围是  

考点:

循环结构.

专题:

图表型.

分析:

由框图知,此程序输出的k是循环次数,循环退出的条件是x>244,由此关系得出不等式,求出x的取值范围即可.

解答:

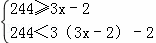
解:依题意可知 

解得:<x≤82.

故答案为:<x≤82.

点评:

本题考查循环结构,解题的关键是根据框图得出其运算律,从而得到x所满足的不等式,解不等式求出要求的范围,由运算规则得出不等式组是本题的难点,题后应好好体会此关系的转化.

练习册系列答案
相关题目

违法和不良信息举报电话:027-86699610 举报邮箱:58377363@163.com

精英家教网