题目内容

设函数f(x)=x3﹣4x+a,0<a<2.若f(x)的三个零点为x1,x2,x3,且x1<x2<x3,则(  )

 

A.

x1>﹣1

B.

x2<0

C.

x2>0

D.

x3>2

考点:

利用导数研究函数的极值;函数的零点.

专题:

函数的性质及应用.

分析:

利用导数研究函数的单调性,利用导数求函数的极值,再根据f (x)的三个零点为x1,x2,x3,且x1<x2<x3,求得各个零点所在的区间,从而得出结论.

解答:

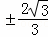
解:∵函数f (x)=x3﹣4x+a,0<a<2,∴f′(x)=3x2﹣4.令f′(x)=0可得 x=

∵当x<﹣时,f′(x)>0;在(﹣)上,f′(x)<0;在(,+∞)上,f′(x)>0.

故函数在(∞,﹣)上是增函数,在(﹣)上是减函数,在(,+∞)上是增函数.

故f(﹣)是极大值,f()是极小值.

再由f (x)的三个零点为x1,x2,x3,且x1<x2<x3,可得 x1<﹣,﹣<x2,x3

根据f(0)=a>0,且f()=a﹣<0,可得 >x2>0.

故选C.

点评:

本题主要考查函数的零点的定义,函数的零点与方程的根的关系,利用导数研究函数的单调性,利用导数求函数的极值,属于中档题.

练习册系列答案
相关题目

违法和不良信息举报电话:027-86699610 举报邮箱:58377363@163.com

精英家教网