题目内容
已知
,若
,则实数对(λ1,λ2)为( )
|
| A. | (1,1) | B. | (﹣1,1) | C. | (﹣1,﹣1) | D. | 无数对 |
解答:
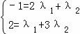
解:∵
=(2λ1+λ2,λ1+3λ2),
,
∴
,解得
.
∴实数对(λ1,λ2)=(﹣1,1).
故选B.
练习册系列答案
相关题目
题目内容
已知
,若
,则实数对(λ1,λ2)为( )
|
| A. | (1,1) | B. | (﹣1,1) | C. | (﹣1,﹣1) | D. | 无数对 |
解答:
解:∵
=(2λ1+λ2,λ1+3λ2),
,
∴
,解得
.
∴实数对(λ1,λ2)=(﹣1,1).
故选B.