题目内容
AB是圆O的直径,EF切圆O于C,AD⊥EF于D,AD=2,AB=6,则AC长为 .
【答案】分析:在圆中线段利用由切割线定理证得∠ACD=∠ABC,进而利用直角三角形相似的判定得到三角形相似,得比例式求得AC即可.
解答:
解:连接AC、BC,
则∠ACD=∠ABC,
又因为∠ADC=∠ACB=90°,
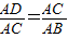
所以△ACD~△ACB,
所以
,
解得AC=
.
故填:
.
点评:此题考查的是圆的切线的性质定理的证明、直角三角形的性质及相似三角形的判定与性质定理,属于基础题.
解答:
则∠ACD=∠ABC,
又因为∠ADC=∠ACB=90°,
所以△ACD~△ACB,
所以
解得AC=
故填:
点评:此题考查的是圆的切线的性质定理的证明、直角三角形的性质及相似三角形的判定与性质定理,属于基础题.
练习册系列答案
相关题目