题目内容
已知正三棱柱ABC-A1B1C1所有的棱长都为2,E是A1B的中点,F在棱CC1上.
(1)当C1F=
CF时,求多面体ABCF
A1的体积;
(2)当点F使得A1F+BF为最小时,求异面直线
AE与A1F所成的角.
![]()
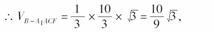
解:(1)∵C1F=
CF,AC=CC1=2,
![]()
由正三棱柱知△ABC的高为
且等于四棱锥B-A1ACF的高.
![]()
即多面体ABCFA1的体积为![]()
.
(2)将侧面BCC1B1展开到侧面A1ACC1得到矩形ABB1A1,连接A1B交C1C于点F,此时点F使得A1F+BF为最小.此时FC平行且等于A1A的一半,
∴F为C1C的中点.
![]()
过E作EG∥A1F交BF于G,连接AG,则∠AEG就是AE与A1F所成的角或所成角的补角.
过G作GH⊥BC,交BC于H,连接AH,
则GH=
FC=
.又AH=
,于是在Rt△AGH中,
AG=
=
;在Rt△ABA1中,AE=
.
∴△AEG中,c
os∠AEG=![]()
=
=0,
∴∠AEG=90°.
故异面直线AE、A1F所成的角为90°.
练习册系列答案
相关题目