题目内容
数列{an}的前n项和为Sn,且a1=1,
【答案】分析:数列{an}中,a1=1,
,n∈N*,分别今n=1,2,3,分别求出a2=
,a3=
,a4=
×(
)2,由此猜想an=
,n≥2.再用数学归纳法证明,由此能求出结果.
解答:解:∵数列{an}中,a1=1,
,n∈N*,
∴a2=
=
,
a3=
(1+
)=
,
a4=
(1+
+
)=
×(
)2,
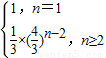
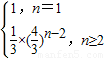
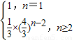
由此猜想an=
,n≥2.
用数学归纳法证明:
①当n=2时,a2=
=
,成立;
②假设n=k时,成立,即
,
则当n=k+1时,
ak+1=
[1+
+
+…+
]
=
[1+
(1+
+…+(
)k-2]
=
[1+
×
]
=
,也成立.
故an=
.
∴a2+a3=
=
,an=
.
故答案为:
,
.
点评:本题考查数列的通项公式的求法,解题时要认真审题,注意递推公式的合理运用,合理地运算数学归纳法进行解题.
解答:解:∵数列{an}中,a1=1,
∴a2=
a3=
a4=
由此猜想an=
用数学归纳法证明:
①当n=2时,a2=
②假设n=k时,成立,即
则当n=k+1时,
ak+1=
=
=
=
故an=
∴a2+a3=
故答案为:
点评:本题考查数列的通项公式的求法,解题时要认真审题,注意递推公式的合理运用,合理地运算数学归纳法进行解题.
练习册系列答案
相关题目