题目内容
已知数列{an}的前n项和Sn=2an-2n+1。
(1)证明:数列
是等差数列;
(2)若不等式an+1<(5-λ)an恒成立,求λ的取值范围。
(1)证明:数列
(2)若不等式an+1<(5-λ)an恒成立,求λ的取值范围。
解:(1)当
时,
得
,
当
时,
,两式相减得
即
,
所以
又
,
所以数列
是以2为首项,1为公差的等差数列;
(2)由(1)知
,即
因为
,
所以不等式
等价于
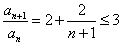
因为
,而
,
所以
,
故
,即
故使不等式
成立的λ的取值范围是
。
当
所以
又
所以数列
(2)由(1)知
因为
所以不等式
因为
所以
故
故使不等式
练习册系列答案
相关题目
已知数列{an}的前n项和Sn=an2+bn(a、b∈R),且S25=100,则a12+a14等于( )
| A、16 | B、8 | C、4 | D、不确定 |