题目内容
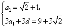
等差数列{an}的前n项和为Sn,a1=1+
,S2=9+
。
(1)求数列{an}的通项an与前n项和为Sn;
(2)设
(n∈N*),求证:数列{bn}中任意不同的三项都不可能成为等比数列。
(1)求数列{an}的通项an与前n项和为Sn;
(2)设
解:(1)由已知得
∴
故
,
。
(2)由(1)得
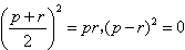
假设数列
中存在三项
(
互不相等)成等比数列,则
即
∴
∵
∴
∴
∴
与
矛盾
所以数列
中任意不同的三项都不可能成等比数列。
∴
故
(2)由(1)得
假设数列
即
∴
∵
∴
∴
∴
与
所以数列
练习册系列答案
相关题目
设等差数列{an}的前n项和为Sn,则a5+a6>0是S8≥S2的( )
| A、充分而不必要条件 | B、必要而不充分条件 | C、充分必要条件 | D、既不充分也不必要条件 |