题目内容
已知数列{an}的前n项和为Sn,首项a1=1,且对于任意n∈N+都有nan+1=2Sn.(Ⅰ)求{an}的通项公式;
(Ⅱ)设
【答案】分析:(Ⅰ)法一:由nan+1=2Sn,得当n≥2时,(n-1)an=2Sn-1,所以nan+1-(n-1)an=2(Sn-Sn-1)=2an,故nan+1=(n+1)an,由此能求出an.
法二:由nan+1=2Sn及an+1=Sn+1-Sn,得nSn+1=(n+2)Sn,故
,由此能求出an.
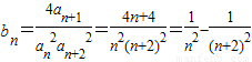
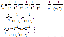
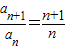
(Ⅱ)依题意得
,由此能够证明
.
解答:解:(Ⅰ)解法一:由nan+1=2Sn①
得当n≥2时,(n-1)an=2Sn-1②,
由①-②可得,nan+1-(n-1)an=2(Sn-Sn-1)=2an,
所以nan+1=(n+1)an,
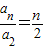
即当n≥2时,
,
所以
,
将上面各式两边分别相乘得,
,
即
(n≥3),
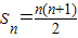
又a2=2S1=2a1=2,所以an=n(n≥3),
此结果也满足a1,a2,
故an=n对任意n∈N+都成立.…(7分)
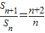
解法二:由nan+1=2Sn及an+1=Sn+1-Sn,
得nSn+1=(n+2)Sn,
即
,
∴当n≥2时,
(此式也适合S1),
∴对任意正整数n均有
,
∴当n≥2时,an=Sn-Sn-1=n(此式也适合a1),
故an=n.…(7分)
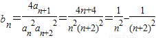
(Ⅱ)依题意可得

∴
.…(13分)
点评:本题考查数列的通项公式的求法,考查数列的前n项和的求法和不等式的证明.解题时要认真审题,仔细解答,注意等价转化思想的合理运用.
法二:由nan+1=2Sn及an+1=Sn+1-Sn,得nSn+1=(n+2)Sn,故
(Ⅱ)依题意得
解答:解:(Ⅰ)解法一:由nan+1=2Sn①
得当n≥2时,(n-1)an=2Sn-1②,
由①-②可得,nan+1-(n-1)an=2(Sn-Sn-1)=2an,
所以nan+1=(n+1)an,
即当n≥2时,
所以
将上面各式两边分别相乘得,
即
又a2=2S1=2a1=2,所以an=n(n≥3),
此结果也满足a1,a2,
故an=n对任意n∈N+都成立.…(7分)
解法二:由nan+1=2Sn及an+1=Sn+1-Sn,
得nSn+1=(n+2)Sn,
即
∴当n≥2时,
∴对任意正整数n均有
∴当n≥2时,an=Sn-Sn-1=n(此式也适合a1),
故an=n.…(7分)
(Ⅱ)依题意可得
∴
点评:本题考查数列的通项公式的求法,考查数列的前n项和的求法和不等式的证明.解题时要认真审题,仔细解答,注意等价转化思想的合理运用.
练习册系列答案
相关题目
已知数列{an}的前n项和Sn=an2+bn(a、b∈R),且S25=100,则a12+a14等于( )
| A、16 | B、8 | C、4 | D、不确定 |