题目内容
在数列{an}中,(1)证明:数列{an-n}是等比数列,并求数列{an}的通项公式;
(2)记
【答案】分析:(1)数列{an}中,由
,知
,a1-1=1,由此能够证明数列{an-n}是等比数列,并求出数列{an}的通项公式.
(2)由(1)得
,故
,由错位相减法能求出
,由此能够
.
解答:解:(1)∵数列{an}中,
,
∴
,a1-1=1,
∴数列{an-n}是首项为1,且公比为4的等比数列,
∴
,
.
(2)由(1)得
,
∴
,
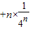
则
,
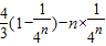
相减得
=
,
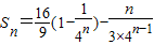
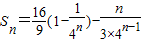
∴
,
∴

=
,
∵n≥1,∴
,
∴
.
点评:本题考查等比数列的证明和通项公式的求法,考查不等式的证明.解题时要认真审题,仔细解答,注意构造法和错位相减法的合理运用.
(2)由(1)得
解答:解:(1)∵数列{an}中,
∴
∴数列{an-n}是首项为1,且公比为4的等比数列,
∴
(2)由(1)得
∴
则
相减得
∴
∴
=
∵n≥1,∴
∴
点评:本题考查等比数列的证明和通项公式的求法,考查不等式的证明.解题时要认真审题,仔细解答,注意构造法和错位相减法的合理运用.
练习册系列答案
相关题目