题目内容

已知圆的圆心在点, 点,求;

(1)过点的圆的切线方程;

(2)点是坐标原点,连结,求的面积

 

【答案】

(1);(2).

【解析】

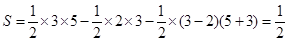
试题分析:(1)过圆外一点作圆的切线,一定是有两条切线,而求切线方程我们一般是用点斜式写出直线方程,再利用圆心到切线的距离等于圆的半径列出方程求出切线斜率,这时可能会出现只有一解的情形,事实上这种情况的出现,一般是另一条切线斜率不存在,即切线与轴垂直,不有忘记.(2)已知三角形三个顶点坐标,要求三角形的面积,可以采取直接的一边长如,再求出AC边长的高即点O到直线AC的距离在在,即能求出面积.当然也可用图形的切割来求面积,计算如下:.请读者体会一下,为什么可以这么做?

试题解析:(1)           (1分)

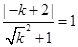
当切线的斜率不存在时,对于直线到直线的距离为1,满足条件(3分)

存在时,设直线,即

                (5分)

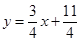
∴得直线方程           (6分)

(2)            (7分)

              (8分)

                (10分)

               (12分)

考点:(1)圆的切线;(2)三角形的面积.

 

练习册系列答案
相关题目

违法和不良信息举报电话:027-86699610 举报邮箱:58377363@163.com

精英家教网