题目内容
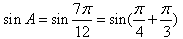
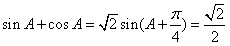
在△ABC中,sinA+cosA=
,AC=2,AB=3,求tanA的值和△ABC的面积。
解:∵
,
∴
,
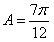
又A为三角形的内角,
∴
,
∴
,
,
∴
,
∴

,
∴
。
∴
又A为三角形的内角,
∴
∴
∴
∴
∴
练习册系列答案
相关题目
在△ABC中,“sin(A-B)cosB+cos(A-B)sinB≥1”是“△ABC是直角三角形”的( )
| A、充分不必要条件 | B、必要不充分条件 | C、充分必要条件 | D、既不充分也不必要条件 |