题目内容
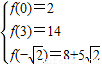
已知二次函数f(x)的图象过点
【答案】分析:设f(x)=ax2+bx+c(a≠0),根据已知条件列方程组即可解得.
解答:解:设f(x)=ax2+bx+c(a≠0),
依题意,得
,即
,
解得a=3,b=-5,c=2,
所以f(x)=3x2-5x+2.
点评:本题考查函数解析式的求法,属基础题,难度不大.
解答:解:设f(x)=ax2+bx+c(a≠0),
依题意,得
解得a=3,b=-5,c=2,
所以f(x)=3x2-5x+2.
点评:本题考查函数解析式的求法,属基础题,难度不大.
练习册系列答案
相关题目